zicht op het Noordelijk Territorium, genomen tijdens ISS Expeditie 41
Foto: NASA

Montreal Protocol is meest succesvolle internationale milieuverdrag ooit

16 september 2024

Op Wereld Ozondag, 16 september, wordt jaarlijks aandacht gevraagd voor de bescherming van de ozonlaag. De ozonlaag schermt het leven op aarde af tegen de meest schadelijke zonnestralen. Als deze niet-zichtbare ultraviolette zonnestraling valt op een onbedekte huid kan dit op termijn leiden tot huidkanker. Maar ook gewassen kunnen worden aangetast. Het Montreal Protocol heeft er voor gezorgd dat de verdunning van ozonlaag inmiddels veel kleiner is. De verwachting is dat in de tweede helft van deze eeuw de dikte van de ozonlaag weer terug zal zijn op het niveau van begin jaren tachtig en tegen het eind van deze eeuw weer terug op het niveau van begin jaren zestig.  

Langdurige waarnemingen van de dikte van de ozonlaag laten duidelijk zien dat sinds 2000 het herstel van de ozonlaag is begonnen. Een volledig herstel wordt nu binnen enkele tientallen jaren verwacht, dankzij historische internationale afspraken. In 1987 werd in het Montreal Protocol vastgelegd om de uitstoot van ozonlaag-afbrekende stoffen aan banden te leggen. De hoeveelheid van deze stoffen in de atmosfeer neemt steeds verder af. Het bewezen succes van die afspraken maakt het Montreal protocol nu, bijna 40 jaar later, tot het meest succesvolle internationale milieuverdrag ooit.

Sterke koppeling met klimaatbeleid

In 2016 werd het Montreal Protocol uitgebreid met nieuwe stoffen die weliswaar geen sterk ozonafbrekende werking hebben maar wel vanwege hun sterke broeikaseffect steeds meer zouden gaan bijdragen aan de opwarming van het klimaat. Dit staat bekend als het Kigali amendement. De koppeling tussen bescherming van de ozonlaag en het tegengaan van klimaatverandering zorgt ervoor dat belangrijke maatregelen om beide milieuproblemen aan te pakken meer hand-in-hand gaan. Door het klimaatakkoord van Parijs (uit 2015) zijn er afspraken over het langzaam stoppen met alle broeikasgassen waardoor niet alleen de opwarming van het klimaat wordt beperkt maar waarmee ook de ozonlaag beter zal worden beschermd. Vooral methaan en lachgas (N2O) zijn belangrijke broeikasgassen die - zonder maatregelen – ook steeds meer de ozonlaag gaan beïnvloeden.

Succesvol beleid

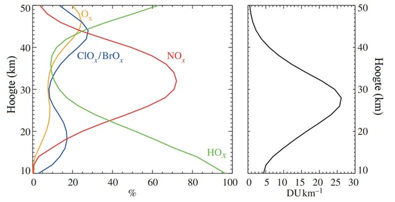
Belangrijk voor het succes van het Montreal Protocol was begrip van de chemische processen in de ozonlaag in de jaren zestig en zeventig. Voor het ontdekken van de rol van stikstofoxiden (afbeelding 1) kreeg de Nederlander Paul Crutzen in 1995 de Nobelprijs voor scheikunde. Daarnaast was de ontdekking van het gat in de ozonlaag boven de Zuidpool midden jaren tachtig ook belangrijk. Aanvankelijk was volstrekt onduidelijk waarom dat gat was ontstaan. Binnen enkele jaren werd helder dat chemische reacties in zogenaamde “parelmoerwolken” op een hoogte van  15 tot 30 kilometer tijdens de poolnacht een sleutelrol speelden. En dezelfde stikstofoxiden van Paul Crutzen zijn ook voor dit jaarlijkse extreme afbraakproces cruciaal.

Gelukkig was het chloor 

Paul Crutzen merkte in zijn Nobelprijslezing van 1995 op dat toeval een belangrijke factor is geweest in de jaren zestig en zeventig toen voor de productie van koelgassen en drijfgassen is gekozen voor chloor en niet voor broom als basiscomponent. Achteraf een zeer gelukkige keuze van de industrie want broommoleculen in de ozonlaag zijn zo’n 60 keer meer effectief in het afbreken van ozon als chloormoleculen. Terwijl voor chloor specifieke atmosferische omstandigheden in de poolnacht nodig zijn om tot grootschalige ozonafbraak te komen, is dat voor broom niet het geval. Was broom gebruikt in plaats van chloor dan had in de jaren tachtig – of mogelijk zelfs al eerder – wereldwijd grootschalige ozonafbraak plaatsgevonden. Dit zou een rampzalige ontwikkeling kunnen zijn geweest.

Broeikasgassen in de ozonlaag

Het Montreal Protocol heeft er al voor gezorgd dat de verdunning van ozonlaag vandaag veel kleiner is dan zonder het verdrag het geval zou zijn geweest. En het herstel is dus ingezet. Door de toename van broeikasgassen zoals kooldioxide, methaan en lachgas zullen er daarbovenop ook blijvende veranderingen zijn in de ozonlaag. Door de toename van CO2 koelt de ozonlaag. Dit vermindert de ozonafbraak. Maar methaan en lachgas dragen juist bij aan ozonafbraak.

Vooral de toename in lachgas in de atmosfeer is belangrijk. De jaarlijkse uitstoot van lachgas is momenteel – gemeten naar hun ozonafbraakpotentieel – ruim twee keer zo groot als de totale jaarlijkse nog resterende emissies van ozonafbrekende stoffen. De grootste bron van lachgas is kunstmestgebruik. Op dit moment is er geen wereldwijd specifiek beleid om emissie van lachgas te reguleren. Lachgas valt wel onder het klimaatverdrag van Parijs. Het wordt op dit moment nog niet gereguleerd onder het Montreal Protocol. De noodzaak om andere stoffen die de ozonlaag blijvend aantasten – waaronder lachgas, maar ook chloroform en enkele andere stoffen die vrijkomen bij industriële processen – zal naar verwachting steeds groter worden.

Bijzonder verdrag 

Het Montreal Protocol was, is en blijft een bijzonder en succesvol milieuverdrag. 

"Hoe krijg je mensen wereldwijd zover snel actie te ondernemen voor het beschermen van een deel van de atmosfeer die ze niet kunnen voelen, ultraviolette straling die ze niet kunnen zien, en te stoppen met gebruik van chemische stoffen die belangrijk voor ze zijn – koelkasten,  airconditioning - maar die ze niet kunnen zien, niet kunnen proeven en niet kunnen ruiken?”  

A.R. Ravishankara [2024], WMO/UNEP Science Assessment Panel on Stratospheric Ozone co-chair (2006 - 2014)

Toch is het gelukt om alle landen in de wereld snel en gezamenlijk zo ver te krijgen om nog voor het eind van de twintigste eeuw te stoppen met de uitstoot van ozonafbrekende stoffen.

Figuur 1: [links] Wereldwijd gemiddelde relatieve bijdrage aan stratosferische ozonafbraak van de belangrijkste families van chemische stoffen voor het jaar 2000. [Rechts] wereldgemiddelde verdeling van ozon als functie van de hoogte. DU staat voor Dobson Unit (2.69 1016 moleculen cm-2). Ox is de som van atomair zuurstof (O) en ozon (O3), NOx = som van stikstofmonoxide (NO) en stikstofdioxide (NO2), ClOx/BrOx = som van alle chloor-oxides en broom-oxides, HOx = som van alle waterstofoxides, (Bron: figuur 2 uit Portmann et al. [2012], 10.1098/rstb.2011.0377)

Recente nieuws- en klimaatberichten

  1. Wat betekenen de nieuwe emissiescenario's voor de KNMI klimaatscenario's?

    Onlangs is door een internationale groep wetenschappers een nieuwe set aan mondiale emissiescenar...

    13 mei 2026 - Klimaatbericht
  2. KNMI en TenneT bundelen krachten voor toekomstbestendig stroomnet

    Netbeheerder TenneT en het KNMI gaan structureel samenwerken op het gebied van weer- en klimaatke...

    12 mei 2026 - Nieuwsbericht
  3. Regenbuien nu nog beter te volgen

    Radarbeelden tonen elke 5 minuten waar en hoe hard het regent in Nederland en omgeving. De kwalit...

    11 mei 2026 - Nieuwsbericht
  4. Vulkaan Tonga toont voor het eerst natuurlijke katalytische afbraak van methaan door vulkaanas in de atmosfeer

    Een internationaal onderzoeksteam onder leiding van het KNMI heeft voor het eerst overtuigend aan...

    08 mei 2026 - Klimaatbericht
Toon alle nieuws- en klimaatberichten